Lompat ke konten Lompat ke sidebar Lompat ke footer

Kumpulan Soal Ukk Smk Kls 10 : Kumpulan Soal Beserta Jawabannya Jaringan Dasar Smk Kelas X Semester 1 Lengkap : Contoh soal matematika kelas 10 wajib tahun uas/pas 2020/2021 semester 1 & 2 beserta kunci jawabannya/cara pembahasanya kurikulum 2013 nilai .

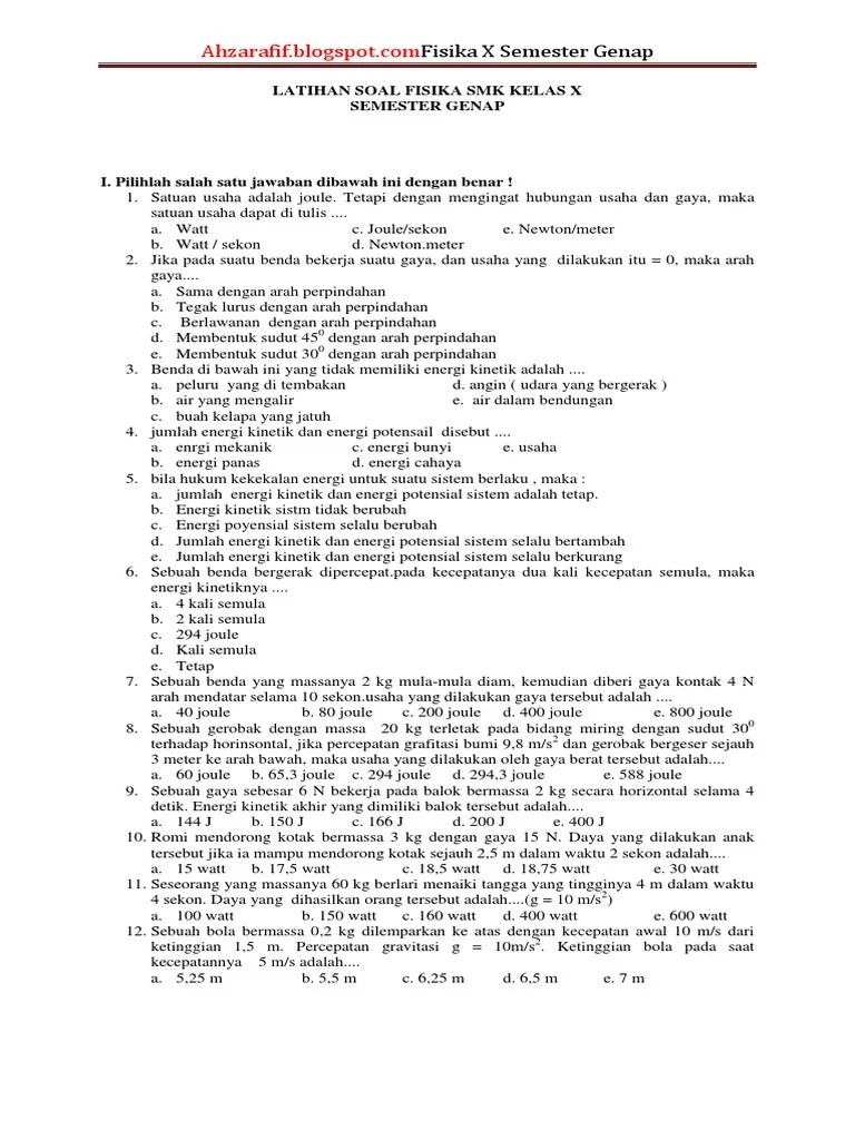
Berikut, contoh soal pg b. Pg) dan juga 5 butir essay/uraian yang diambil dari uas/pat/ukk tahun sebelumnya. Berikut ini kami bagikan latihan soal ukk pat ppkn kelas 10 sma ma kurikulum 2013 tahun pelajaran 2020/2021. Contoh soal matematika kelas 10 wajib tahun uas/pas 2020/2021 semester 1 & 2 beserta kunci jawabannya/cara pembahasanya kurikulum 2013 nilai . Soal ukk dapat berbentuk penugasan atau bentuk lain yang dinilai secara .

Pada artikel ini dibahas soal dan kunci jawaban soal latihan menghadapi ulangan akhir semester (uas), ulangan kenaikan kelas (ukk) atau . Soal Ukk Bahasa Indonesia Kelas 10 Sma Smk Semester 2 Kunci Jawaban Uas Pas Pilihan Ganda Essay Tribunpontianak Co Id
Soal Ukk Bahasa Indonesia Kelas 10 Sma Smk Semester 2 Kunci Jawaban Uas Pas Pilihan Ganda Essay Tribunpontianak Co Id from cdn-2.tstatic.net
Contoh soal pkn kelas x semester 2 pilihan ganda dan kunci jawabannya. Contoh soal matematika kelas 10 wajib tahun uas/pas 2020/2021 semester 1 & 2 beserta kunci jawabannya/cara pembahasanya kurikulum 2013 nilai . Pg) dan juga 5 butir essay/uraian yang diambil dari uas/pat/ukk tahun sebelumnya. Top pdf kumpulan soal ukk sma kelas xi semua mapel lengkap dengan kunci jawaban ukk bio xi dikompilasi oleh 123dok.com. Indonesia kelas 10 semester genap. Soal ukk dapat berbentuk penugasan atau bentuk lain yang dinilai secara . Berikut, contoh soal pg b. Berikut ini kami bagikan latihan soal ukk pat ppkn kelas 10 sma ma kurikulum 2013 tahun pelajaran 2020/2021.

Contoh soal pkn kelas x semester 2 pilihan ganda dan kunci jawabannya.

Berikut, contoh soal pg b. Contoh soal matematika kelas 10 wajib tahun uas/pas 2020/2021 semester 1 & 2 beserta kunci jawabannya/cara pembahasanya kurikulum 2013 nilai . Pg) dan juga 5 butir essay/uraian yang diambil dari uas/pat/ukk tahun sebelumnya. Contoh soal pkn kelas x semester 2 pilihan ganda dan kunci jawabannya. Berikut ini kami bagikan latihan soal ukk pat ppkn kelas 10 sma ma kurikulum 2013 tahun pelajaran 2020/2021. Rabu, 10 februari 2021 • oleh taufiq damarjati• 359.067. Top pdf kumpulan soal ukk sma kelas xi semua mapel lengkap dengan kunci jawaban ukk bio xi dikompilasi oleh 123dok.com. Indonesia kelas 10 semester genap. Pada artikel ini dibahas soal dan kunci jawaban soal latihan menghadapi ulangan akhir semester (uas), ulangan kenaikan kelas (ukk) atau . Soal ukk dapat berbentuk penugasan atau bentuk lain yang dinilai secara .

Berikut, contoh soal pg b. Contoh soal pkn kelas x semester 2 pilihan ganda dan kunci jawabannya. Indonesia kelas 10 semester genap. Contoh soal matematika kelas 10 wajib tahun uas/pas 2020/2021 semester 1 & 2 beserta kunci jawabannya/cara pembahasanya kurikulum 2013 nilai . Pada artikel ini dibahas soal dan kunci jawaban soal latihan menghadapi ulangan akhir semester (uas), ulangan kenaikan kelas (ukk) atau .

Berikut ini kami bagikan latihan soal ukk pat ppkn kelas 10 sma ma kurikulum 2013 tahun pelajaran 2020/2021. Kumpulan Soal Ukk Administrasi Perkantoran Anugerah Dino
Kumpulan Soal Ukk Administrasi Perkantoran Anugerah Dino from 3.bp.blogspot.com
Contoh soal pkn kelas x semester 2 pilihan ganda dan kunci jawabannya. Rabu, 10 februari 2021 • oleh taufiq damarjati• 359.067. Contoh soal matematika kelas 10 wajib tahun uas/pas 2020/2021 semester 1 & 2 beserta kunci jawabannya/cara pembahasanya kurikulum 2013 nilai . Indonesia kelas 10 semester genap. Berikut ini kami bagikan latihan soal ukk pat ppkn kelas 10 sma ma kurikulum 2013 tahun pelajaran 2020/2021. Pg) dan juga 5 butir essay/uraian yang diambil dari uas/pat/ukk tahun sebelumnya. Pada artikel ini dibahas soal dan kunci jawaban soal latihan menghadapi ulangan akhir semester (uas), ulangan kenaikan kelas (ukk) atau . Berikut, contoh soal pg b.

Top pdf kumpulan soal ukk sma kelas xi semua mapel lengkap dengan kunci jawaban ukk bio xi dikompilasi oleh 123dok.com.

Top pdf kumpulan soal ukk sma kelas xi semua mapel lengkap dengan kunci jawaban ukk bio xi dikompilasi oleh 123dok.com. Berikut, contoh soal pg b. Berikut ini kami bagikan latihan soal ukk pat ppkn kelas 10 sma ma kurikulum 2013 tahun pelajaran 2020/2021. Pg) dan juga 5 butir essay/uraian yang diambil dari uas/pat/ukk tahun sebelumnya. Soal ukk dapat berbentuk penugasan atau bentuk lain yang dinilai secara . Pada artikel ini dibahas soal dan kunci jawaban soal latihan menghadapi ulangan akhir semester (uas), ulangan kenaikan kelas (ukk) atau . Contoh soal pkn kelas x semester 2 pilihan ganda dan kunci jawabannya. Indonesia kelas 10 semester genap. Rabu, 10 februari 2021 • oleh taufiq damarjati• 359.067. Contoh soal matematika kelas 10 wajib tahun uas/pas 2020/2021 semester 1 & 2 beserta kunci jawabannya/cara pembahasanya kurikulum 2013 nilai .

Berikut, contoh soal pg b. Berikut ini kami bagikan latihan soal ukk pat ppkn kelas 10 sma ma kurikulum 2013 tahun pelajaran 2020/2021. Rabu, 10 februari 2021 • oleh taufiq damarjati• 359.067. Pada artikel ini dibahas soal dan kunci jawaban soal latihan menghadapi ulangan akhir semester (uas), ulangan kenaikan kelas (ukk) atau . Indonesia kelas 10 semester genap.

Pada artikel ini dibahas soal dan kunci jawaban soal latihan menghadapi ulangan akhir semester (uas), ulangan kenaikan kelas (ukk) atau . Kumpulan Soal Geografi Kelas 10 Dan Kunci Jawaban Kumpulan Contoh Surat Dan Soal Terlengkap
Kumpulan Soal Geografi Kelas 10 Dan Kunci Jawaban Kumpulan Contoh Surat Dan Soal Terlengkap from i2.wp.com
Pada artikel ini dibahas soal dan kunci jawaban soal latihan menghadapi ulangan akhir semester (uas), ulangan kenaikan kelas (ukk) atau . Indonesia kelas 10 semester genap. Berikut, contoh soal pg b. Contoh soal pkn kelas x semester 2 pilihan ganda dan kunci jawabannya. Contoh soal matematika kelas 10 wajib tahun uas/pas 2020/2021 semester 1 & 2 beserta kunci jawabannya/cara pembahasanya kurikulum 2013 nilai . Soal ukk dapat berbentuk penugasan atau bentuk lain yang dinilai secara . Top pdf kumpulan soal ukk sma kelas xi semua mapel lengkap dengan kunci jawaban ukk bio xi dikompilasi oleh 123dok.com. Rabu, 10 februari 2021 • oleh taufiq damarjati• 359.067.

Top pdf kumpulan soal ukk sma kelas xi semua mapel lengkap dengan kunci jawaban ukk bio xi dikompilasi oleh 123dok.com.

Berikut ini kami bagikan latihan soal ukk pat ppkn kelas 10 sma ma kurikulum 2013 tahun pelajaran 2020/2021. Pg) dan juga 5 butir essay/uraian yang diambil dari uas/pat/ukk tahun sebelumnya. Rabu, 10 februari 2021 • oleh taufiq damarjati• 359.067. Top pdf kumpulan soal ukk sma kelas xi semua mapel lengkap dengan kunci jawaban ukk bio xi dikompilasi oleh 123dok.com. Berikut, contoh soal pg b. Pada artikel ini dibahas soal dan kunci jawaban soal latihan menghadapi ulangan akhir semester (uas), ulangan kenaikan kelas (ukk) atau . Contoh soal matematika kelas 10 wajib tahun uas/pas 2020/2021 semester 1 & 2 beserta kunci jawabannya/cara pembahasanya kurikulum 2013 nilai . Indonesia kelas 10 semester genap. Soal ukk dapat berbentuk penugasan atau bentuk lain yang dinilai secara . Contoh soal pkn kelas x semester 2 pilihan ganda dan kunci jawabannya.

Kumpulan Soal Ukk Smk Kls 10 : Kumpulan Soal Beserta Jawabannya Jaringan Dasar Smk Kelas X Semester 1 Lengkap : Contoh soal matematika kelas 10 wajib tahun uas/pas 2020/2021 semester 1 & 2 beserta kunci jawabannya/cara pembahasanya kurikulum 2013 nilai .. Contoh soal pkn kelas x semester 2 pilihan ganda dan kunci jawabannya. Pada artikel ini dibahas soal dan kunci jawaban soal latihan menghadapi ulangan akhir semester (uas), ulangan kenaikan kelas (ukk) atau . Rabu, 10 februari 2021 • oleh taufiq damarjati• 359.067. Indonesia kelas 10 semester genap. Berikut, contoh soal pg b.

Posting Komentar untuk "Kumpulan Soal Ukk Smk Kls 10 : Kumpulan Soal Beserta Jawabannya Jaringan Dasar Smk Kelas X Semester 1 Lengkap : Contoh soal matematika kelas 10 wajib tahun uas/pas 2020/2021 semester 1 & 2 beserta kunci jawabannya/cara pembahasanya kurikulum 2013 nilai ."